镜头的景深
来源:深圳市凯茉锐电子科技有限公司2024-12-26
镜头的景深
景深(英语:Depth of field,缩写:DoF,,民间所谓背景虚化)景深是指相机对焦点前后相对清晰的成像范围。在光学中,尤其是录影或是摄影,是一个描述在空间中,可以清楚成像的距离范围。虽然透镜 只能够将光聚到某一固定的距离,远离此点则会逐渐模糊,但是在某一段特定的距离内,影像模糊的程度是肉眼无法察觉的,这段距离称之为景深。对于某些影像,例如风景照,比较适合用较大的景深,然而在人像摄影时,则经常使用小(短)景深来构图。
景深通常由物距、镜头焦距,以及镜头的光圈值所决定,(相对于焦距的光圈大小)。除了在近距离时,一般来说景深是由物体的放大率以及透镜的光圈值决定。固定光圈值时,增加放大率,不论是更靠近拍摄物或是使用长焦距的镜头,都会减少景深的距离;减少放大率时,则会增加景深。如果固定放大率时,增加光圈值(缩小光圈)则会增加景深;减小光圈值(增大光圈)则会减少景深。
当焦点设在超焦距时,景深会从超焦距的一半延伸到无限远,对一个固定的光圈值来说,这是最大的景深。
因为数位影像的进步,影像的锐利度可以由电脑后制而改变,因此也可以由后制的方式来改变景深。

景深指的是相机对焦点前后相对清晰的成像范围。在景深之内的影像比较清楚,在这个范围之前或是之后的影像则比较模糊。
感光元件尺寸与景深的关系
在相同条件下(相同的等效焦距、对焦距离、光圈、模糊圈直径与画幅之比),感光元件越小,景深越大。大致为倒数关系,即感光元件画幅长边之比的倒数约等于景深之比,例如:感光元件增大一倍,景深减小一半。景深的不同是感光元件画幅对成像效果最直接的影响。
获得最大景深
同一台照相机,光圈越小,景深越大;不同的照相机,感光元件尺寸越小,景深越大。
景深表
很多中小型镜头(例如上图所示的35mm镜头)都配备了根据焦距和光圈值换算景深的景深表。景深表中使用英尺和米两种单位;当某个距离值对准白色标线时,这一距离的物体就恰好在焦平面上成像。景深表下方白色标线两侧有标示光圈值的数值,当镜头的光圈值设定为某一数值时,景深就为该光圈值标线对齐的距离标尺上的两个数值范围。
超焦距
当景深被扩大到无穷远时从焦点到镜头中心的距离即是超焦距;通过将相机对焦在超焦距上来获得给定f值的最大景深。对焦超过超焦距并不会使远景深增加(因为它已经被扩展到了无穷远),但这样却会缩短近景深,进而使完整的景深缩小。所以一些摄影师认为这样做会浪费景深;然而,The object field method 给出一个这样做的理由。如果镜头包含景深刻度,那么可以通过对齐无限远标志和某个f值的标志来设置超焦距。例如,将上图中的35mm镜头设置到f/11处,即将无限远标志与‘11’标志对齐就可以将焦距设成超焦距。对焦在超焦距上是一个将对焦区在远景深上延伸至无限远的特例。
f/5.6的短距离景深,可略分为三层次;背景较为模糊,左右后方两人次之,中间则清楚成像。
有限景深:选择对焦
要获得有限景深的照片,和获得最大景深的照片相反,使用越大尺寸感光元件的照相机景深越小,效果越好。
景深公式
超焦距
f代表镜头的焦距,N代表镜头的光圈值,而C代表的特定的底片格式模糊圈的直径,超焦距为H可由下式描述:

中长距离
以s代表相机对焦点到相机的距离(物距)。 DN相机至前景深极限的距离,DF相机至后景深极限的距离。当s远大于镜头的焦距时,

当物距在超焦距时,

景深则为

如果S≥H,远景深在无限远处时,则景深就是无限远;换句话说,只有当物体在近景深极限之后,才可以清楚成像。
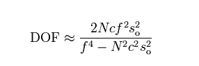
把H带入,景深可以表示为

因此,对于特定的底片,景深可以由以下的参数决定:镜头焦距、光圈值(光圈大小)以及物距。
近距离
当物距s接近焦距时,使用前述的公式会有很大的误差。在近距离时,超焦距的公式就不太能用,此时把景深公式用放大率来表示会比较方便。令m是放大率;当物距比超焦距小得多的时候,

所以给定你放大率时,景深就跟焦距无关。换句话说,在同样的放大率之下,所有焦距的景深看起来差不多。这只有在物距小于超焦距才会成立。
前景和背景虚化
在焦点前的虚化一般叫前景虚化。相应的,在焦点后的叫背景虚化。

光圈对景深以及模糊圈的影响。焦点 (2) 可以在像平面 (5)成像,但是在不同距离的点,如 (1 跟3)则会投影出一个模糊的点,此点已大于模糊圈。减少光圈的大小 (4) 可以减小那些不在焦点上的点的模糊圈大小,因此模糊就变得比较不易察觉,看起来这些点就变成都在景深内。

景深表,下面调节光圈,上面有对应的景深,光圈数值的颜色对应对焦环上的景深刻度颜色。例如把光圈调为黄色的11,对应的景深就是上方两条黄色刻线中间的部分,用米和英尺两种单位表示。
相关资讯
硅对光的敏感度超过1100nm,但为什么没有能够检测到这些波长的CCD?
2026-03-04- 2026-03-03
什么是垂直同步、彩色视频复合信号同步、外同步、直流线锁定和完全同步?
2026-03-02- 2026-02-28
- 2026-02-27
- 2026-02-26






13798538021