什么是红外热成像,它的原理是什么
来源:深圳市凯茉锐电子科技有限公司2026-01-04
什么是红外热成像?
红外热成像是一种通过探测物体表面发出的红外辐射(热辐射)并将其转化为可见图像的技术。它是一种非接触式、无损的测量和观察手段,广泛应用于医疗诊断、工业检测、安全监控、军事、以及科学研究等领域。
红外热成像的原理
1. 热辐射的基本原理
热辐射:任何温度高于绝对零度(-273.15°C,0 K)的物体都会以电磁波的形式向外辐射能量,主要是红外线。
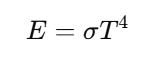
斯特藩-玻尔兹曼定律:热辐射的总能量与物体温度的四次方成正比:

其中:
E:单位面积总辐射功率
T:物体的热力学温度(单位K)
σ:斯特藩-玻尔兹曼常数
红外线的波长范围

核心组成部分
红外探测器:捕捉物体表面的红外辐射并将其转化为电信号。
光学系统:通常是红外透镜,用于聚焦红外辐射。
信号处理器:将红外信号转换为可见光信号。
显示设备:生成热图像,显示物体表面的温度分布。
4. 成像过程
探测红外辐射:红外探测器捕捉到不同物体因温度差异而产生的红外辐射。
信号处理:将探测到的红外辐射强度转化为电信号。
生成热图像:根据辐射强度的差异,将信号处理为不同颜色或灰度值的像素,形成温度分布图。
红外热成像的特点
非接触式测量:无需与物体接触,适用于危险或难以接近的环境。
实时动态成像:可实时监测物体温度分布和变化。
高灵敏度:能够探测到极小的温差变化。
全天气适用:可在黑暗、烟雾、灰尘等复杂环境中工作。
红外热成像的应用
工业检测
电气设备故障诊断(如电缆过热、接触不良)。
机械设备的状态监测(如轴承温度、摩擦过热)。
医疗健康
检测人体温度异常(如炎症、肿瘤)。
用于发热筛查和疾病诊断。
安全监控
夜视监控和目标识别。
边境安全和防御监控。
科学研究
热力学实验。
气候变化研究。
建筑行业
检测建筑物的保温性能。
查找漏水或热桥问题。
军事领域
夜间战斗目标探测。
导弹制导和侦察。
总结
红外热成像技术基于热辐射原理,利用红外探测器捕捉物体表面的温度分布,并将其转化为可见图像。这种技术以其高灵敏度、非接触性和实时动态监测能力,在多个领域发挥了重要作用,为人类的生产生活提供了强大的工具。
相关资讯
硅对光的敏感度超过1100nm,但为什么没有能够检测到这些波长的CCD?
2026-03-04- 2026-03-03
什么是垂直同步、彩色视频复合信号同步、外同步、直流线锁定和完全同步?
2026-03-02- 2026-02-28
- 2026-02-27
- 2026-02-26






13798538021